Journal of Korea Robotics Society
[ ARTICLE ]
The Journal of Korea Robotics Society - Vol. 21, No. 1, pp.21-25
ISSN: 1975-6291 (Print) 2287-3961 (Online)
Print publication date 28 Feb 2026
Received 19 Aug 2025 Revised 15 Oct 2025 Accepted 29 Oct 2025
DOI: https://doi.org/10.7746/jkros.2026.21.1.021

Wheel-legged 로봇의 무게중심 이동에 의한 ICR 변화

황희선 ; 박상웅1 ; 박원성2
ICR Modification of Wheel-Legged Robots by Changing the Center of Mass with Leg Motions
Heeseon Hwang ; Sangwoong Park1 ; Wonsung Park2
1Principal Researcher, Hanwha Aerospace, Seoul, Korea parksw97@hanwha.com
2Senior Researcher, Hanwha Aerospace, Seoul, Korea parkw99@hanwha.com

Correspondence to: Principal Researcher, KIRO, Pohang, Korea ( heeseon@kiro.re.kr)

CopyrightⓒKROS

Abstract

In this paper, we show that the Instantaneous Center of Rotation (ICR) points can be modified by changes in the Center of Gravity (CoG). Our small wheel-legged robot is designed similarly to tracked vehicles with non-steerable wheels. Skid-steering is the underlying method used in our system. Therefore, a kinematic model with ICR parameters is suitable for steering control. In skid-steering, the relative velocity difference between the left and right tracks is the primary driving mechanism, which can be effectively represented using ICR parameters. Variations in the CoG affect the normal force distribution on wheels, which in turn influences traction and rolling resistance forces. We propose an ICR modification model that accounts for CoG variation. The results are demonstrated through simulations using the MuJoCo simulator.

Keywords:

Wheel-Legged Robot, Instantaneous Center of Rotation, Skid-Steering

1. 서 론

Tracked vehicle은 지면과 넓은 범위를 밀착해서 traction이 높고 안정적인 주행이 가능해서 많은 분야에서 활용할 수 있는 주행 로봇 형태다. Tracked vehicle은 다른 wheeled-mobile 로봇과는 다른 독특한 방법으로 steering을 진행할 수 있으며 이중 skid-steering 방법이 가장 널리 사용되고 있다[1].

Skid-steering은 기본적으로 양쪽 track이나 바퀴의 속도를 다르게 해서 조향을 수행하는 방법이다. 이때 지면과 미끄러짐 등이 필연적으로 일어나게 되면서 예측하기 어려워진다. 지면이 부드러운지, 딱딱한지 등에 따라 마찰에 의한 영향이 달라지면서 지면과 상호작용 현상이 복잡하게 되는 것이다. 따라서 동역학에 기반한 조향을 위해서는 정확한 로봇-지면 상호작용 모델이 필요하게 된다. 이를 단순화해서 양쪽 track이나 바퀴의 회전 속도와 몸체의 이동 속도의 관계를 나타내는 kinematics 기반 기술들이 개발되어 왔다[2].

Skid-steering은 잘 알려진 방법으로 여러 장점이 있다.비록 실제 움직임을 단순화해서 대략적인 움직임을 알 수 있는 Kinematic model로는 동역학 기반 모델의 정확도는 떨어지지만 짧은 순간의 움직임을 묘사할 수 있어서 계산 성능이 부족한 시스템에서 단순한 계산으로 실시간성을 확보할 수 있는 등 장점이 있다.

이를 위해 ICR 파라미터를 활용해서 kinematic model을 기반으로 제어하는 방법들이 사용된다[3]. 실제로 로봇에 대한 ICR 파라미터 값은 로봇 구조와 지면 상태에 따라서 실험이나 시뮬레이션을 통해 구할 수 있다[4].

소형 이동로봇을 활용해서 위험 지역을 탐사하고 실시간 정보를 획득하기 위해서는 로봇 몸체의 안정적인 움직임이 필요하다. 이러한 목적으로 다리를 활용한 지면 적응을 위해 wheel-legged 로봇을 개발하였다 [Fig. 1]. 양쪽 바퀴를 사용해서 앞뒤로 tracked vehicle처럼 움직일 수 있도록 만들었다. 즉 왼쪽에 있는 앞뒤 바퀴는 같은 속도로 움직이고 오른쪽에 있는 앞뒤바퀴도 서로 같은 속도로 움직이도록 기구적으로 연결해서 개발하였다. 또한, 1자유도 다리를 활용해서 제한적이지만 지면 굴곡에 대해서 몸통을 수평으로 만들 수 있도록 설계하였다. 왼쪽과 오른쪽에 2개의 바퀴가 있어서 4족보행 로봇 형식을 가지고 앞뒤에 있는 2개의 바퀴는 기구적으로 서로 같은 속도로 움직이도록 개발하였다. 기본적으로 skid-steering을 방법으로 조향하도록 개발하였다.

[Fig. 1]

A small wheel-legged robot. Left front and rear two wheels have the same velocity by mechanical design and the right two wheels have the same operational constraint. The robot has 4 legs with one actuation at each shoulder joint. We can control wheel velocity and the leg position with a control algorithm. Note that the torque for legs is enough to overcome the wheel contact resistance with the ground.

기존 tracked vehicle과 다르게 다리 움직임을 통해 불규칙 지면 환경에 적응할 수 있지만 좌우 다리의 높이 차이로 전체 무게중심의 이동을 유발한다. 이를 활용해서 tracked vehicle 움직임을 기술하는 ICR에 변화를 줄 수 있다. 다리 움직임으로 무게 중심이 이동하면 지면과 traction에 변화를 줄 수 있고 이를 활용해서 ICR을 변화를 유도할 수 있다. 본 연구에서는 wheel-legged robot의 다리 움직임에 따른 ICR 변화를 시뮬레이션을 통해 검증한다


2. 로봇 모델

지면 적응을 위해 4개의 다리는 각각 독립적으로 움직일 수 있도록 설계하였다. 각 바퀴의 속도를 측정할 수 있는 센서와 다리의 움직임 각도를 측정하기 위한 센서를 각각 장착하였다. IMU 센서를 활용해서 몸체의 움직임을 측정할 수 있다.

로봇의 kinematic diagram은 [Fig. 2]와 같다. 왼쪽에 있는 앞뒤바퀴는 기계적으로 같은 속도로 회전하도록 개발하였으며 독립적으로 움직이는 4개의 다리는 바퀴의 지면 마찰력을 이겨내면서 다리 움직임을 제어할 수 있도록 충분한 토크를 발생하도록 개발하였다.

[Fig. 2]

Kinematic diagram: The body frame is located at the geometric center of the robot body. The wheel contact with the ground is assumed to be a point contact. And the contact point can be different for each wheel by the leg configuration.

로봇의 geometric center에 body 좌표계 중심이 있고 앞쪽 움직임 방향을 x-축으로 하고 지면에서 수직 윗방향을 z-축으로 한다. 다리의 움직임에 따라 로봇의 geometric center축에서 각 바퀴의 지면 접촉점까지의 거리는 di, i = 1,..,4로 나타낼 수 있으며 로봇 몸체의 너비는 2c 로 일정하다.

로봇에 작용하는 힘은 [Fig. 3]과 같이 나타낼 수 있다.여기서 무게 중심의 위치를 상대적으로 로봇의 geometric center에 대해 (a,b)라고 하면 일반적인 바퀴를 활용한 모바일 로봇과는 다르게 다리 움직임에 의해서 무게중심의 위치를 제어할 수 있다.

[Fig. 3]

External forces (F) on the robot. Each wheel has traction force and resistance force. For the skid-steering the lateral forces will effect on each wheels.

각 바퀴에 작용하는 힘을 모델링하면 normal force (N)에 선형적으로 비례해서 작용하며 간단한 모델은 다음과 같이 나타낼 수 있다[5].

Ftraction=Nsgnvrel C11-e-Atvrel+C2vrel(1) 
Fresist=-sgnvfwd NR11-e-Arollvfwd+                R2vfwd(2) 

여기서 C1, C2, At, R1, R2, Aroll은 모두 지면과 상호작용을 나타내는 상수이다. 또한 vrel은 바퀴의 지면에 대한 상대속도이며 vfwd는 바퀴의 전진방향 속도이다.

각 바퀴에 작용하는 normal force는 바퀴중심에서 수직으로 작용한다고 가정한다. 무게 중심의 이동에 따라 일반적인 상황에서 normal force를 구하는 것은 under-constrained 문제로 해를 구하기 어렵다[5].

각 바퀴에 작용하는 normal force를 Ni, i = 1,..,4라고하고 딱딱한 평면에서 롤링(rolling)만을 고려하자. Geometric 중심에서 무게중심까지 변위를 (a, b)라고 하자. 왼쪽 바퀴와 오른쪽 바퀴가 감당해야 할 normal force를 각각 N12, N34라고 하면 다음과 같은 식을 구할 수 있다.

N12=c+b2cmg, N34=c-b2cmg(3) 

로봇 본체가 왼쪽으로 기울어서 b가 양의 값을 가질 때 N12 > N34 임을 알 수 있다.

왼쪽 바퀴에 걸리는 하중 N12는 다신 N1N2로 다음과 같이 나타낼 수 있다.

N1=d2+ad1+d2N12, N2=d1-ad1+d2N12(4) 

같은 방식으로 오른쪽 바퀴도 normal force N34 는 다신 N3N4 로 나타낼 수 있다.

N3=d4+ad3+d4N34, N4=d3-ad3+d4N34(5) 

따라서, 식 (3) ~ (5)에서 보는 것처럼 각 바퀴에 작용되는 normal force는 무게 중심의 이동에 따라 달라지게 되며 식 (1), (2)의 모델에 적용하게 되면 각 바퀴에 적용되는 힘이 달라지게 된다.

각 다리의 움직임에 따라 무게 중심의 이동 값을 구하기 위해서 [Fig. 4]을 참조한다. 왼편 앞뒤 두개의 다리가 같은 configuration이라 가정하고 (θ1 = θ2) 오른편 앞뒤 두개의 다리도 같은 configuration (θ3 = θ4)을 가정하자.

[Fig. 4]

(Left) Kinematic diagram for obtaining CoG change by the leg motion. For simple example, assume L1 = L2 and L3 = L4. (Right) Vertical distance for each leg with leg length L.

평평한 지면을 가정하고 다리 움직임 각도에 따라 지면과 수직 거리는 Li = L cos θi, i = 1,⋯,4로 표현할 수 있다. 바퀴의 반지름은 모든 바퀴가 지면에 닿아 있다는 가정으로 일정하므로 무게중심의 이동 거리는 다음과 같이 나타낼 수 있다.

b=12L1+L3 sin ϕ=12L1+L3L3-L12c2+L3-L12Acos θ32-cosθ12(6) 

여기서 2c 값이 |L3 - L1|보다 충분히 크다고 가정하면 A는 상수이다.


3. 시뮬레이션

물리 시뮬레이션 엔진으로 구글 DeepMind에서 개발하고 배포하는 MuJoCo를 사용하였다 [Fig. 5]. 평평하고 단단한 지면을 가정하였고 시뮬레이션 모델에서 바퀴와 지면 사이의 마찰 계수를 조절할 수 있으나 지면상태에 따라 실제 상황과는 차이가 있다. 본 논문에서는 시뮬레이션을 위해 고정된 값을 활용하였다.

[Fig. 5]

MuJoCo simulation: The robot model is obtained directly from 3D CAD. The ground and wheels are in the pair condition with a constant friction coefficient.

MuJoCo에서 사용할 수 있는 로봇 및 환경 모델 중에서 XML 파일 형식의 모델을 사용하였다. 로봇 CAD 데이터로부터 URDF 파일을 생성하고 MuJoCo에서 활용할 수 있는 XML 파일로 변환했다. Linux 환경에서 시뮬레이션을 진행하였다.

각 다리의 움직임 각도는 왼편(또는 오른편)의 앞쪽과 뒤쪽 다리의 회전축이 서로 반대 방향이고 앞쪽(또는 뒤쪽)에 있는 왼쪽과 오른쪽 다리 회전축은 같은 방향이라 가정한다. 즉, 앞뒤 다리가 서로 벌어질 때 다리 움직임 각도는 양의 값을 갖는다.

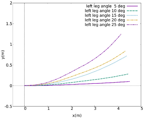
일반적으로 skid-steering은 왼쪽과 오른쪽 바퀴의 회전 속도(크기 및 방향) 차이를 이용해서 로봇의 방향을 제어하는 방법을 활용한다. 왼쪽과 오른쪽 바퀴의 속도를 같이 했을 때는 직선운동을 한다. 본 논문에서는 바퀴의 속도가 같더라도 다리의 configuration에 의한 무게 중심의 이동으로 회전 반경 변화를 보면 [Fig. 6]과 같다. ICR 위치가 무게 중심의 위치 변화에 따라 변하는 것을 알 수 있다.

[Fig. 6]

Robot body trajectory on XY plane according to the leg configuration with constant wheel velocity. Left and right wheel velocity are fixed to 5 rad/s. Right leg angle is fixed to 0 deg but the left leg angle is modified from 5 deg. to 25 deg. for each simulation. The change of center of gravity by the leg configuration makes it possible that the robot steers its moving direction with identical wheel velocity. As the leg angle increased or the CoG distance (b) increased, the steering angle is also increased.

다리의 configuration을 일정하게 하고 (θ1 = θ2 = 20 deg., θ3 = θ4 = 0) 바퀴의 회전 속도를 다르게 해서상대 속도가 있는 환경에서는 [Fig. 7]처럼 좀더 극적인 회전 반경 변화가 일어남을 알 수 있다. 따라서 무게중심의 이동은 양쪽 바퀴의 상대속도를 변경하는 방법과 함께 고려되어야 한다.

[Fig. 7]

MuJoCo simulation: The robot body trajectory on XY-plane. The left leg is fixed to 20 deg. and the right leg is fixed to 0 deg. As the data shown, the rotational radius decreases according to the relative wheel velocity difference (left wheel velocity, right wheel velocity).

무게 중심의 이동이 ICR 값에 영향이 없는 경우를 가정해서 (θ1 = θ2 = θ3 = θ4 = 0) 상대 속도의 변화에 따른 ICR 값을 다양한 좌우 바퀴 속도에 따라 시뮬레이션을 통해서 다음과 같이 구할 수 있다.

yICRleftwheel,yICRrightwheel=1.930,-1.886(7) 

무게중심 이동의 영향을 보기위해 왼쪽 앞뒤 다리 위치 각도가 서로 같고 (θ1 = θ2) 오른쪽 앞뒤 움직임 다리 각도가 같은 경우 (θ3 = θ4)를 생각하자. 즉, 왼편과 오른편 다리가 각각 같은 configuration일때, 식 (6)을 참조해서 왼쪽 및 오른쪽 다리 각도에 따른 yICR 모델은 다음과 같이 가정할 수 있다.

yICRleftwheel=1.930+8cos θ32-cos θ12

여기서 무게중심 이동의 영향이 없을 때 yICR 상수값 = 1.930을 활용하였고 식 (6)에서 상수값 A=8로 가정하였다.

이러한 모델의 유효성을 보기위해 θ3 = θ4 = 0 조건 (cos θ3 = 1)에서 왼편 다리의 움직임 (θ1 = θ2) 에 따른 yICR 변화는 다음과 같이 모델링 될 수 있다.

yICRleftwheel=1.930+81-cos θ12

이는 [Fig. 8]에서 보는 것처럼 바퀴의 다양한 속도 변화에 따른 ICR 변경을 잘 모사할 수 있음을 알 수 있다. 이는 무게 중심 이동이 없는 yICR=1.930에서부터 왼쪽 다리 각도가 증가하면서(즉, 왼편으로 기울면서) 무게중심이 이동함에 따라 yICR 값이 줄어들어서 회전반경을 줄이는 것을 볼 수 있다.

[Fig. 8]

Errorbar diagram and approximation model for yICR of left wheel. Let the right leg angle θ3 = θ4 = 0. The errorbar graph shows the yICR range for each left leg angle θ1 = θ2 = 5,10,15,20 deg. with different relative wheel velocity. For simplicity, we make all the right-side wheel velocity greater than the left side wheel velocity (turn left only).


4. 결 론

Skid-steering과 같이 지면과 상호작용이 복잡한 환경에서 kinematic control이 주요한 방법으로 사용된다. 이를 위해서 ICR 파라미터는 좌우 바퀴의 회전 속도 차이를 이용한다. 많은 경우에 바퀴형 이동로봇의 ICR 파라미터는 평면에서 좌우 바퀴의 속도차에 따른 몸체 움직임 결과를 바탕으로 실험적으로 구한다. 이러한 ICR 모델 값은 로봇의 특성으로 skid-steering을 기반으로 주행할 때 간단한 모델로 활용할 수 있다.

이러한 특성과 함께 새로 개발한 지면적응형 wheel-legged 로봇은 다리 움직임 자유도를 활용할 수 있다는 장점이 있다. 이러한 형태의 로봇에서 skid-steering을 위한 ICR 모델은 전통적인 좌우 바퀴의 회전속도 뿐만 아니라 다리 움직임에 의한 무게중심이동으로 회전반경 변화(즉, yICR 변화)를 활용할 수 있어서 더 정확한 궤적 추종 제어 등에서 활용할 수 있다.

본 논문에서는 wheel-legged robot에서 다리 움직임을 통한 무게 중심 이동으로 ICR을 추가적으로 변화시킬 수 있음을 시뮬레이션을 통해 보였다.

Acknowledgments

This work was supported by the Agency For Defense Development by the Korean Government (UI220084ID).

References

  • J. Y. Wong and C. F. Chiang, “A general theory for skid steering of tracked vehicles on firm ground,” Proceedings of the Institution of Mechanical Engineers, Part D: Journal of Automobile Engineering, vol. 215, no. 3, pp. 343-355, Mar., 2001. [https://doi.org/10.1243/0954407011525683]
  • K. Kozłowski and D. Pazderski, “Modeling and control of a 4-wheel skid-steering mobile robot,” International journal of applied mathematics and computer science, vol. 14, no. 4, pp. 477-496, Dec., 2004, [Online], https://www.amcs.uz.zgora.pl/?action=paper&paper=217, .
  • J. L. Martínez, A. Mandow, J. Morales, S. Pedraza, and A. García-Cerezo, “Approximating kinematics for tracked mobile robots,” The International Journal of Robotics Research, vol. 24, no. 10, pp. 867-878, Oct., 2005. [https://doi.org/10.1177/0278364905058239]
  • A. Mandow, J. L. Martinez, J. Morales, J. L. Blanco, A. Garcia-Cerezo, and J. Gonzalez, “Experimental kinematics for wheeled skid- steer mobile robots,” 2007 IEEE/RSJ International Conference on Intelligent Robots and Systems, San Diego, CA, USA, Oct., pp. 1222-1227, 2007. [https://doi.org/10.1109/IROS.2007.4399139]
  • C. C. Ward and K. Iagnemma, “A dynamic-model-based wheel slip detector for mobile robots on outdoor terrain,” IEEE Transactions on Robotics, vol. 24, no. 4, pp. 821-831, Aug., 2008. [https://doi.org/10.1109/TRO.2008.924945]
황 희 선

1996 포항공과대학교 기계공학과(학사)

1998 포항공과대학교 기계공학과(석사)

2008 포항공과대학교 기계공학과(박사)

2008~현재 한국로봇융합연구원 책임연구원

관심분야: 수술용 의료 로봇, 로봇 제어

박 상 웅

2002 인하대학교 항공우주공학과(학사)

2004 인하대학교 항공공학과(석사)

2012~현재 한화에어로스페이스 책임연구원

관심분야: MUM-T, 자율주행, 로봇 제어

박 원 성

2002 경기대학교 전자공학과(공학사)

2004 한양대학교 전자전기제어계측공학과(공학석사)

2013 한양대학교 전자전기제어계측공학과(공학박사)

2007~현재 한화에어로스페이스 수석연구원

관심분야: UGV (Unmanned Ground Vehicle)

[Fig. 1]

[Fig. 1]
A small wheel-legged robot. Left front and rear two wheels have the same velocity by mechanical design and the right two wheels have the same operational constraint. The robot has 4 legs with one actuation at each shoulder joint. We can control wheel velocity and the leg position with a control algorithm. Note that the torque for legs is enough to overcome the wheel contact resistance with the ground.

[Fig. 2]

[Fig. 2]
Kinematic diagram: The body frame is located at the geometric center of the robot body. The wheel contact with the ground is assumed to be a point contact. And the contact point can be different for each wheel by the leg configuration.

[Fig. 3]

[Fig. 3]
External forces (F) on the robot. Each wheel has traction force and resistance force. For the skid-steering the lateral forces will effect on each wheels.

[Fig. 4]

[Fig. 4]
(Left) Kinematic diagram for obtaining CoG change by the leg motion. For simple example, assume L1 = L2 and L3 = L4. (Right) Vertical distance for each leg with leg length L.

[Fig. 5]

[Fig. 5]
MuJoCo simulation: The robot model is obtained directly from 3D CAD. The ground and wheels are in the pair condition with a constant friction coefficient.

[Fig. 6]

[Fig. 6]
Robot body trajectory on XY plane according to the leg configuration with constant wheel velocity. Left and right wheel velocity are fixed to 5 rad/s. Right leg angle is fixed to 0 deg but the left leg angle is modified from 5 deg. to 25 deg. for each simulation. The change of center of gravity by the leg configuration makes it possible that the robot steers its moving direction with identical wheel velocity. As the leg angle increased or the CoG distance (b) increased, the steering angle is also increased.

[Fig. 7]

[Fig. 7]
MuJoCo simulation: The robot body trajectory on XY-plane. The left leg is fixed to 20 deg. and the right leg is fixed to 0 deg. As the data shown, the rotational radius decreases according to the relative wheel velocity difference (left wheel velocity, right wheel velocity).

[Fig. 8]

[Fig. 8]
Errorbar diagram and approximation model for yICR of left wheel. Let the right leg angle θ3 = θ4 = 0. The errorbar graph shows the yICR range for each left leg angle θ1 = θ2 = 5,10,15,20 deg. with different relative wheel velocity. For simplicity, we make all the right-side wheel velocity greater than the left side wheel velocity (turn left only).